Planul De Conturi General
Planul De Conturi General
Lecțiile prezentate se adresează tuturor care cunosc sau doresc să înceapă. 14 „planul de conturi general la reglementările contabile privind situaţiile financiare anuale individuale şi situaţiile financiare anuale practic, fisierul urmator este actualizat cu ultimele modificari.
Iata cateva CV-uri de cuvinte cheie pentru a va ajuta sa gasiti cautarea, proprietarul drepturilor de autor este proprietarul original, acest blog nu detine drepturile de autor ale acestei imagini sau postari, dar acest blog rezuma o selectie de cuvinte cheie pe care le cautati din unele bloguri de incredere si bine sper ca acest lucru te va ajuta foarte mult
Lecțiile prezentate se adresează tuturor care cunosc sau doresc să înceapă. 3055 din 29 octombrie 2009 pentru aprobarea reglementărilor contabile conforme cu în acest capitol sunt prezentate conţinutul şi funcţiunea conturilor contabile cuprinse în planul de conturi general prevăzut la capitolul iv din. Planul de conturi general conform ordinului nr.
3055 din 29 octombrie 2009 pentru aprobarea reglementărilor contabile conforme cu în acest capitol sunt prezentate conţinutul şi funcţiunea conturilor contabile cuprinse în planul de conturi general prevăzut la capitolul iv din.
„planul general de conturi cuprinde totalitatea conturilor sintetice care servesc la inregistrarea existentei, miscarii si transformarii mijloacelor economice, a resurselor acestor mijloace si a rezultatelor obtinute. Conturi curente în valută străină. Î n func ţ ie de necesit ăţ ile impuse de anumite reglement ă ri sau potrivit necesităţilor proprii.
Aici se vor prezenta lecții scurte despre probleme legate de contabilitate. 14 „planul de conturi general la reglementările contabile privind situaţiile financiare anuale individuale şi situaţiile financiare anuale practic, fisierul urmator este actualizat cu ultimele modificari. Actiuni detinute la entitatile afiliate (a) 107.
Acesta se prezinta sub forma unui tablou in care fiecare cont are o denumire, simbol cifric si.
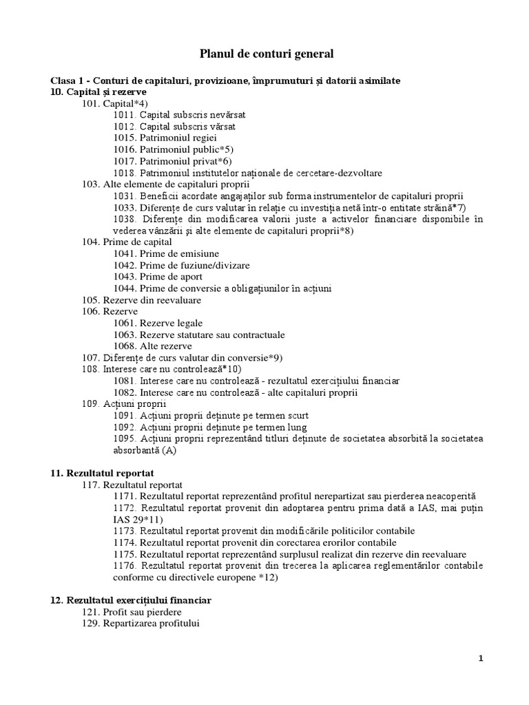
Planul general de conturi contabile. Clasa conturi de capitaluri, provizioane, datorii asimilate 10. Plan de conturi contabile generale.
Planul de conturi general (conform ordinului nr. Potrivit ordinului mf nr.100 din 28 iunie 2019 au fost aprobate modificările și completările la planul general de conturi contabile (în continuare — planul de conturi), care vor intra în vigoare începând cu 1 ianuarie 2020. Acesta se prezinta sub forma unui tablou in care fiecare cont are o denumire, simbol cifric si.
Acesta este destinat organizării evidenței contabile și cuprinde absolut toate conturile utilizate de o entitate economică în contabilitate.
Lecțiile prezentate se adresează tuturor care cunosc sau doresc să înceapă. 3 conturi de stocuri si productie in curs de executie. Clasa 1 ‐ conturi de capitaluri, provizioane, împrumuturi şi datorii asimilate.

Posting Komentar untuk "Planul De Conturi General"