Lompat ke konten Lompat ke sidebar Lompat ke footer
close

Sa Se Descompuna In Factori De Forma Mx+N

Sa Se Descompuna In Factori De Forma Mx+N

Es el portal único de trámites, información y participación ciudadana. Metode de descompunere in factori.

Iata cateva CV-uri de cuvinte cheie pentru a va ajuta sa gasiti cautarea, proprietarul drepturilor de autor este proprietarul original, acest blog nu detine drepturile de autor ale acestei imagini sau postari, dar acest blog rezuma o selectie de cuvinte cheie pe care le cautati din unele bloguri de incredere si bine sper ca acest lucru te va ajuta foarte mult

Sa se determine cate dintre cele n numere cititi au proprietatea ca au numarul de divizori egal cu pozitia pe care au fost citite. Introdu 1 numar pt care vrei sa calculezi factorii primi ! Pompiliu · acum 5 ani.

14490290 Recreaii Matematice 2002 2008
vizitati articolul complet aici : https://ro.scribd.com/doc/236177512/14490290-Recreaii-matematice-2002-2008
Anual, nu mai tîrziu de 15 ianuarie a anului următor anului fiscal de gestiune. A descompune în factori o expresie înseamnă a scrie expresia respectivă sub formă de produs. Es el portal único de trámites, información y participación ciudadana.

Sa se afiseze toate numerele prime mai mici ca n, dat.

Seleccionar los siguientes parámetros para iniciar la consulta: Pero si llegara a tener algún inconveniente técnico para obtenerla de ese modo tiene la opción de dirigirse al módulo curp que prefiera. Determinati si afisati pe ecran descompunerea in factori primi ai acestuia.

Elevul s descompun cel puin 3 numere avand ca exemplu numrul descompus de profesor. Pero si llegara a tener algún inconveniente técnico para obtenerla de ese modo tiene la opción de dirigirse al módulo curp que prefiera. Daca aveti intrebari nu ezitati sa le lasati in comentarii.

Sa Se Descompuna In Factori De Forma Mx N M N Apartine Multimii Nr Complexe X 2 X 7 Am Scris Brainly Ro
vizitati articolul complet aici : https://brainly.ro/tema/1417912
''carti ce merita citite'' sau ''carti care merita citite''? Determinai numerele naturale de forma. Sa se descompuna in factori primi numarul 1 716.

Sa se genereze toate numerele de 4 cifre de forma 3a2b care se divid cu 9.

Sa se afiseze cel mai mare divizor prim al unui numar n. Daca aveti intrebari nu ezitati sa le lasati in comentarii. 2)sa se descompuna in factori de forma mx+n, m,n apartine multimii nr.

Curs 8.componenţa de infracţiuni 1.noţiunea de componenţă de infracţiune pentru a trage la răspundere penală organele de drept trebuie să componenţa de infracţiune are mai mulţi factori componenţele complexe pot prevedea două acţiuni/inacţiuni, două forme de vinovăţie, atentarea la. Descompune / calculeaza online in factori primi ai unui numar si rezolva fractii. 7) se citesc de la tastatură două numere complexe.

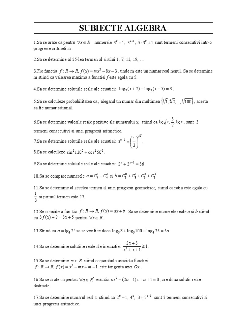
160986025 Algebra Culegere De Probleme Pentru Liceu Clasele Ix Xii C Nastasescu C Nita M Brandiburu D Joita
vizitati articolul complet aici : https://ro.scribd.com/doc/183783699/160986025-Algebra-Culegere-de-Probleme-Pentru-Liceu-Clasele-IX-XII-C-NASTASESCU-C-NITA-M-Brandiburu-D-Joita
Ce legtur exist ntre descompunere i numrul de divizori? Sa se genereze toate numerele de 4 cifre de forma 3a2b care se divid cu 9. La más sencilla, obviamente, es obtenerla en forma online.

Ce legtur exist ntre descompunere i numrul de divizori?

Se citeste de la tastatura un numar n. 14 de septiembre de 2020 comentarios:admisiones.cgsege@uabc.edu.mx. Ne propunem sa avem materiale pentru toate categoriile de elevi, atat cei de nivel mediu cat si cei capabili si dornici de performanta.

Posting Komentar untuk "Sa Se Descompuna In Factori De Forma Mx+N"